
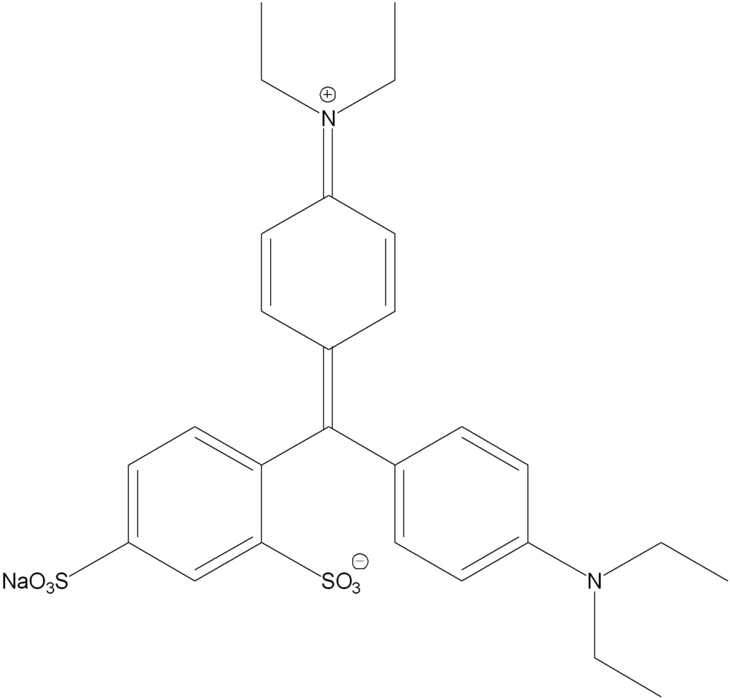
| CAS Number | 116-95-0 |
|---|---|
| Molecular Formula | C27H32N2O6S2 |
| Molecular Weight | 544.7 |
| InChI Key | IKHKJYWPWWBSFZ-UHFFFAOYSA-N |
| LogP | 3.5 |
| Synonyms |
|
Applications:
Uv-Vis Spectrum of Acid Blue 1
April 6, 2026
Access the UV-Vis Spectrum SIELC Library

If you are looking for optimized HPLC method to analyze C.I. Acid Blue 1 check our HPLC Applications library
For optimal results in HPLC analysis, it is recommended to measure absorbance at a wavelength that matches the absorption maximum of the compound(s) being analyzed. The UV spectrum shown can assist in selecting an appropriate wavelength for your analysis. Please note that certain mobile phases and buffers may block wavelengths below 230 nm, rendering absorbance measurement at these wavelengths ineffective. If detection below 230 nm is required, it is recommended to use acetonitrile and water as low UV-transparent mobile phases, with phosphoric acid and its salts, sulfuric acid, and TFA as buffers.
For some compounds, the UV-Vis Spectrum is affected by the pH of the mobile phase. The compound was dissolved with water. This analysis was done with the mobile phase made of 20% acetonitrile and 80% water.