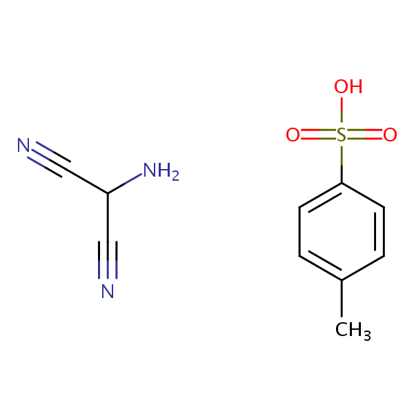
| CAS Number | 5098-14-6 |
|---|---|
| Molecular Formula | C10H11N3O3S |
| Molecular Weight | 253.280 |
| InChI Key | MEUWQVWJLLBVQI-UHFFFAOYSA-N |
| LogP | 0.93 |
| Synonyms |
|
Applications:
Separation of Aminomalononitrile p-toluenesulphonate on Newcrom R1 HPLC column
May 16, 2018
Aminomalononitrile p-toluenesulphonate can be analyzed by this reverse phase (RP) HPLC method with simple conditions. The mobile phase contains an acetonitrile (MeCN), water, and phosphoric acid. For Mass-Spec (MS) compatible applications the phosphoric acid needs to be replaced with formic acid. Smaller 3 µm particles columns available for fast UPLC applications. This liquid chromatography method is scalable and can be used for isolation impurities in preparative separation. It also suitable for pharmacokinetics.
Application Column
Newcrom R1
The Newcrom columns are a family of reverse-phase-based columns. Newcrom A, AH, B, and BH are all mixed-mode columns with either positive or negative ion-pairing groups attached to either short (25 Å) or long (100 Å) ligand chains. Newcrom R1 is a special reverse-phase column with low silanol activity.
Select options

